
一、最大柱效
當線速度S=0.1cm/s時,柱效最高,特別是對于粒徑較大的色譜柱。
根據方程式 :H=A+B/u+C u
H為塔板高度(cernterm),A、B及C為三個常數,其單位分別為cm、cm /s及s。u為載氣的線速度(cm/s)。u≈L/t , L為柱長(cm), t 為死時間(s)。
VanDeernter方程式說明:
在u一定時,A、B及C三個常數越小,峰越銳,柱效越高。反之,則峰擴張,柱效低。用VanDeemter方程式可以解釋塔板高度—流速曲線。在低流速時(0~u 之間) u越小,B/u項越大,C u項越小。此時,Cu項可以忽略,B/u項起主導作用,u增加則H降低,柱效增高。
在高流速時(u>u ),u越大,C u越大,B/u越小。這時C u項起主導作用,u增加,H增加,柱效降低。

塔板高度-流速曲線
1.B/u 2.Cu 3.A
u在0.1 cm/s左右時,H有最小值,即最大的柱效。
二、最佳流速
不同柱徑色譜柱流動相的最佳流速:
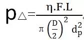
對于不同粒徑的色譜柱,特別是大粒徑色譜柱(粒徑大于3um)線速度u=0.1cm/s時,對應的流動相的流速F為最佳流速。根據公式:
![]()
式中:線速度u:cm/s,流速F:ml/min,色譜柱柱徑D:mm。
色譜柱柱徑D=4.6 mm的柱子,當線速度u=0.1 cm/s時,最佳流速F=1ml/min
色譜柱柱徑D=4.0mm的柱子。當線速度u=0.1cm/s時。最佳流速F≈0.8ml/ming
三、最小消耗
在線速度相同的情況下,管徑越大需要的流速越大,消耗溶劑越多。
![]()
使用小管徑色譜柱可以節約溶劑。
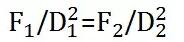
由公式
得消耗溶劑只差![]()
例如:當線速度u=0.1cm/s時,使用管徑D=2.1mm.的色譜柱比使用D=4.6mm的色譜柱,節約溶劑79%。
所以,方法優化時使用小管徑色譜柱既有利于節約溶劑和減小載樣量。
四、最短時間
線速度相同,分析時間與柱長成正比。

式中:u——線速度,L——柱長,t——分析時間,
A:線速度U相同【流速F相同,管徑D相同】,柱效N不同【柱長L不同,粒徑d不同】,洗脫液,柱溫,進樣量相同
結論:分析時間t不同,分離度R不同,分析時間t與柱長L成正比。
B:線速度U相同【流速F不同,管徑D不同】,柱效N相同【柱長L相同,粒徑d相同】,洗脫液,柱溫相同。
結論:分析時間t相同,分離度R相同,進樣量與柱容量成正比。
C:柱容量公式

式中:r——柱半徑cm,L——柱長cm,60%——柱空穴率。
五、柱效比較
色譜柱如何比較柱效?

式中:N——柱效,L——色譜柱長,dp——粒徑
對于同種填料不同管徑dp的色譜柱,柱效N與柱長L成正比,與粒徑dp成反比,柱長L與粒徑dp之比相同的色譜柱柱效N相同,在方法優化的時候小粒徑短柱和比值相同的大粒徑長柱有著同樣的柱效。
六、色譜柱柱前壓

減小粒徑和柱徑,減小擴散增加柱效,同時減小流速和柱長,降低柱壓,以便于適應色譜系統,由于色譜柱管徑的縮小,粒徑的減小也會對系統帶來不利的影響,在分析允許的條件下,升高柱溫,降低流動相的粘度,以緩解系統壓力,提高流動相的流量,縮短分析時間。
(文章參考儀器信息網)

