在氣相色譜的檢測中我們經常會遇到色譜圖里出現一些非目標物質峰,或者多次進樣后峰形有變化、分離度下降等問題。
一、鬼峰
鬼峰可能來自隔墊流失、載氣雜質及被污染的氣路管線;其次可能來自載氣中微量氧氣、水或其它物質等與固定相的反應產物;以及前次進樣的高沸點殘留組分流出,污染的進樣口和柱頭都可能導致鬼峰產生。如:
①載氣不純,雜質在低溫時凝聚,當溫度升高時就會流出;
②前次進樣殘留的高沸點組分峰流出;
③液體樣品中的空氣峰;
④樣品使色譜柱上以前吸附的雜質解吸出來;
⑤樣品在進樣口或色譜柱中高溫下分解;
⑥樣品被污染;
⑦高溫下或程序升溫時進樣口隔墊分解;
⑧樣品與固定液或載體相互作用產生雜質;
⑨玻璃棉或進樣器帶入的污染物。
解決方案如下:
①空白運行時出現鬼峰
通常在程序升溫過程中出現,是由于在相對較低的起始溫度下,柱頭會聚集污染物,隨著柱溫升高被釋放并在譜圖上表現出來造成。
空白運行或進溶劑時出現鬼峰,可能是之前進樣殘留的高沸點組分流出所致,這時多進樣幾次空針或進溶劑運行,鬼峰就可以消失。一段時間內色譜柱都處于初始溫度下時,后續進樣常常會出現鬼峰,例如,每天或每周的最初幾次運行經常會出現鬼峰。
污染的進樣口也可能導致鬼峰,因為樣品揮發或熱解以后會被吹掃進入色譜柱,可嘗試降低進樣口溫度,如果能消除或減弱鬼峰,則是進樣口被污染導致,需要清洗進樣口,更換襯管、密封圈和隔墊等。
②純樣品進樣時出現鬼峰
當純樣品進樣時出現鬼峰,可先只用溶劑做一次空白運行,如果鬼峰仍然出現,那么鬼峰與該樣品無關。假設樣品是純凈的,出現鬼峰的一個常見原因是進樣口過熱造成組分分解,這個問題可以通過降低進樣口溫度來確認。
如果運行一次空白,原有的鬼峰沒有出現,則說明該樣品受到污染,需要檢查樣品處理過程中潛在污染來源,如樣品提取、純化、轉移和存儲等環節。
在降低進樣口溫度、減慢氣化速度不引起色譜峰展寬的前提下,應盡可能使用低的進樣口溫度來操作,避免出現高溫導致分解的情況;或應使用揮發性更強的溶劑,極端情況下,分析之前應對可能分解的樣品先進行衍生化,降低進樣口帶來的變異。
金屬柱也可能導致樣品降解。此時,鬼峰往往比它們附近的峰要寬,因為這些鬼峰成分是在通過整個柱長的過程中產生的。如果確認這是產生鬼峰的原因,就有必要換成玻璃柱或熔融石英柱。
二、空白樣品測定時出現待測成分
導致空白樣品測定時出現待測成分色譜峰的主要原因,可分為以下幾種:
①可能是由于制備空白的試劑含有待測組分,如試劑被污染,或裝空白試劑的容器被污染。
②可能是儀器之前測試過同樣的樣品,之后系統內有測試樣品的殘留。這主要和溫控系統、柱系統和檢測系統的設置和配置有關,如設置溫度不當時,上一次樣品組分在儀器內會有殘留,干擾后面的測定。
③儀器的氣體、管路、氣體凈化器、進樣口等被污染,有時空白運行時也會出現待測成分。
④空白樣品中含性質與所測樣品極相似的成分,誤以為空白樣品中有待測成分,如該成分保留時間與待測樣品相同等。
解決方案如下:
空白樣品溶液出現待測成分色譜峰,應按下列方法逐一檢查:
首先,考慮制備用的試劑、制備過程中的樣品以及盛裝容器是否被污染。分析待測組分含量低的樣品時,空白運行時出現的待測成分雜質會嚴重干擾實驗結果。如果是這些原因造成的,清洗容器,重新制備,有問題的試劑需更換。
其次,要檢查溫控系統、柱系統和檢測系統,如溫度設置是否合適,選用的色譜柱是否合適等,如有問題需改變溫度條件或更換色譜柱。
如果使用上面的方法仍沒有解決問題,應考慮儀器的氣體、管路、氣體凈化器、進樣口等是否被污染。如要檢查氣體發生器的堿液有沒有漏液,是否需要更換,以及氣體鋼瓶載氣的純度是否達到要求;檢查氣體凈化器的分子篩、硅膠等是否需要更換或活化;同時,也要檢查進樣系統,如進樣口隔墊、襯管、分流出口管路等是否被污染。
如果經過上面的排除方法,仍沒有解決問題,那么得考慮是否是由于空白樣品中含性質與所測樣品極相似的成分造成的,可選擇多種定性方法組合定性判斷,如相對保留值定性、雙柱和多柱結合等定性方法。
空白運行時出現待測成分,會影響實驗結果的判斷。例如,試驗新方法時,一般先按照標準方法設置柱溫升溫程序,如實驗時一個樣品分析需要60min,為減少分析時間而提高升溫速率,雖然分析時間減少了,但由于與固定相接觸的時間也減少了,可能導致進下一個樣時,在待測成分保留時間位置出現上一個樣的雜質,干擾判斷。另一種情況,由于溫度設置不當,高沸點的組分沒完全流出,而在下一次進樣測定時才流出,而保留時間又剛好一致,會誤導誤判斷。
三、分離度下降
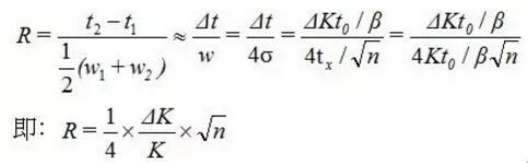
色譜分離度又稱分辨率,用來表征兩個相鄰色譜峰的分離程度,用R表示。R等于相鄰色譜峰保留時間之差與兩色譜峰峰寬均值之比。計算公式為:
R越大,表明相鄰兩組分分離越好。一般說當R<1時,兩峰有部分重疊;當R=1.0時,分離度可達98%;當R=1.5時,分離度可達99.7%。通常用R=1.5作為相鄰兩組分已完全分離的標志。當R=1時,稱為4σ分離,兩峰基本分離,裸露峰面積為95.4%,內側峰基重疊約2%。R=1.5時,稱為6σ分離,裸露峰面積為99.7%。R≥1.5稱為完全分離。《中國藥典》規定R應大于1.5。為了判斷分離物質對色譜柱在色譜柱中的分離情況,常用分離度作為柱的總分離效能指標,
從塔板理論可以推論出:

從這里我們可以清晰地看到影響分離度R的因素只有三個,即:兩臨近組分的分配系數(容量因子)之差ΔK、平均分配系數K、柱理論塔板數n。因此分離度R與柱長L(或柱理論塔板數n)的平方根成正比,與分配系數之差ΔK成正比,與平均分配系數K成反比。分配系數與固定相的性質、厚度及柱溫有關:①與樣品極性相似的固定相,分配系數大;②固定液液膜厚度增加,分配系數增大;③溫度降低,分配系數增加。
因此我們僅從塔板理論來看,載氣流速并不影響分離度R的。我們知道,這并不符合我們的實際經驗。事實上,分離度R與載氣流速是密切相關的。為什么會出現這個情況呢?這是因為塔板理論的四個假設并不成立,存在偏差。為了修正這些偏差,1956年荷蘭人Van Deemter提出了速率理論。
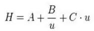
速率理論是對塔板理論的一個修正。范第姆特方程(Van Deemter equation)在色譜學中是綜合考慮了分離過程中引起峰展寬的物理因素、動力學因素和熱力學因素后得到的單位柱長的總峰展寬與流動相流速的關系式。
一般來說,影響峰展寬的因素包括多路徑效應,擴散(縱向和橫向)與固定相和流動相間的傳質阻力。通常用理論塔板高度來表示色譜分離過程中的峰展寬。范德姆特方程呈雙曲形函數的形式,表明流動相的流速存在一個最優值,在該點柱效最高。范第姆特方程最常用的形式如下式所示,該式直觀地反映了流動相流速對于分離的影響。

式中H為理論塔板高度,A,B,C為常數,μ表示流動相的流速。
A項反映的是被分析物在填充柱中可能采取不同的路徑,因而經過的路程也不一樣長,引起色譜峰的展寬,這就是“多路徑效應”。在毛細管開管柱中不存在多路徑效應,這一項為零。
B/μ表示的是因為色譜柱各部分存在濃差而引起的縱向擴散帶來的峰展寬。
Cμ表示達到固定相與流動相的平衡之后由于在固定相與流動相傳質存在著阻力引起的峰展寬。
范第姆特方程的完整形式如下:
![]()
式中:
λ 是一個與柱內填料粒度均一性與填充狀態有關的常數;
dp 為填料的粒徑;
G、ω和R 為常數;
Dm 是被分析物在流動相中的分子擴散系數,與載氣的性質和柱溫有關;
dc 是毛細管的直徑;
df 是固定相的膜厚度;
Ds 是被分析物在固定相中的分子擴散系數,與固定相的性質有關。
由以上相關理論可以推論出,色譜柱的分離度與色譜柱的長度、固定相的性質、液膜厚度、載氣流速和性質、柱溫均有關系。
①分離度R與柱長L的平方根成正比,因此,采用較長的色譜柱可以獲得更高的分離度,但相應的分析時間也會延長。而且色譜柱越長壓降越大,柱過長會增大進出口壓力比,相反會降低分離度。
②固定相的性質與分析物越相似,分離度越高;
③從上述公式中可以看出,液膜厚度的增加會導致塔板高度的增加,柱理論塔板數降低,同時還會增加分析物在固定相中的分配系數,理應導致分離度降低,但事實上,在分配系數增加的同時,ΔK增加更為顯著,所以液膜厚度的增加能提高分離度;
④分子質量大的載氣(N2、Ar)的優點是擴散作用小,缺點是在柱中壓降大、流速慢,即分析周期長。分子量較小的載氣(H2、He)傳質阻力小,有利于提高分析速度,但濃度較高的介質易在其間形成擴散,影響分離度,所以在實際測量中H2、He氣體一般都用于介質濃度較低的區域并提高其流速,減少擴散的影響。
⑤色譜柱存在一個最佳載氣流速,但實際分析中為縮短分析時間,流速通常稍大于最佳流速。
⑥提高柱溫能提高分析物在流動相和固定相中的擴散系數,降低傳質阻力,加快分析速度,同時使色譜峰變窄變高,但會導致分離度的下降。
⑦此外,色譜分離是樣品在固定相和流動相中反復分配的過程,過載后本來該進入固定相的樣品在固定相上得不到保留(例如:本來在這點有50%的樣品能保留在固定相上,現在只能保留30%,因為固定相上樣品飽和了),就被流動相推著往前走,因此造成了保留變化(主要是分配系數發生了改變),因此進樣量與分離度也是有關系的。
因此,引起分離度降低的原因可能有:a.載氣流速設置不當;b.柱溫設置不當;c.色譜柱受到污染,柱效下降;d.進樣量太大;e.樣品的濃度發生改變。
解決方案如下:
①載氣流速設置不合理,可以通過降低載氣流速來提高分離度;
②柱溫設置不當,降低柱溫,或改用程序升溫;
③色譜柱受污染,應清洗柱子;
④減少進樣量,提高進樣技術;
⑤提高氣化室溫度;
⑥減少系統的死體積,主要是色譜柱要連接到位,毛細管色譜柱要分流,選擇合適的分流比。
(內容來源氣相色譜之家)

