一、外標法定量
使用前提:能夠精確進樣,有合適的標準樣品。
操作方法:確定進樣量的條件下,進樣分析標準樣品,得到待測組分峰面積,計算得到待測組分的絕對校正因子。
在與標準樣品進樣量相同的情況下,進樣分析待測樣品,得到待測組分峰面積,乘以絕對校正因子,得到組分含量。
計算公式:
特點:一次進樣得到結果。不同組分單獨計算。多組分分析需要多組分標樣。
特別情況:有時候采用多點校正,用標準曲線法計算結果。標準曲線法,可以看做是外標法的一個延伸。
適用情況:帶定量環的氣體分析,帶自動進樣器的液體分析。
二、歸一化法
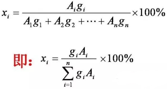
我們可以用外標法測定進樣不準確的樣品,根據總濃度偏離100%的情況,對測量結果進行修正,修正后即可得到正確進樣量下的真實值。這就是歸一化法。簡單說就是:
分子,就是外標法下待測組分的濃度;分母則是所有組分外標法測定濃度之和。利用濃度和,消除了進樣量體積錯誤導致的誤差。
歸一化法因此擺脫了外標法對進樣量一定的要求。但歸一化法也帶來的一個問題:所有組分之和必須是準確的,也就是說,這一次進樣,必須能夠分析出樣品中的所有組分。如果其中部分組分不能分析,而且含量未知,那么就無法進行修正了;如果這部分組分通過其他方法已經正確定量,那么我們可以進行部分修正,歸一化到100%減去這個數值的結果。這一公式,充分說明的歸一化法的特點
特點:一次進樣得到結果。不需要精確進樣量。所有組分結果同時得到。
缺點:必須所有組分都出峰,并且已知校正因子(可以用混合標樣一次分析得到絕對校正因子,也可以直接用相對校正因子哦)。或者不出峰組分含量已知(用部分歸一化)。
特別情況:當所有組分的相對校正因子相同的時候,可以直接用面積進行計算,這時稱為百分比法。例如FID檢測器利用質量分數計算烴類含量,即可使用百分比法。這時計算所有組分含量的時候簡單易行,即使能夠精確進樣量,也經常直接使用百分比法來計算了。
使用情況:能夠得到所有組分相對校正因子,所有組分都出峰,特別是進樣量無法精確控制的情況下。例如液體注射器手動進樣,氣體氣密注射器手動進樣,惰性氣體或溶劑稀釋進樣(不考慮溶劑峰)等情況下。
三、內標法定量
內標法的操作方法是這樣的:首先稱取一定量(W)的未知樣品,然后在里面定量(Ws)的加入某個未知樣品中不含的組分,然后混合均勻,取出部分混合后的樣品,用色譜分析,得到加入組分峰面積As和待測組分峰面積Ai。那么,待測組分的含量就可以用下面公式計算了:
Ci%=Ai/As*Gi/s*Ws/W
內標法可以做到外標法和歸一化法都無法做到的復雜情況下的定量。那就是:進樣量不能精確,所有組分也不見的都出峰。
特點:一次進樣得到結果,不需要精確進樣量,一次分析一個或多個組分。
缺點:需要前期稱量處理,引入了可能的稱量誤差,操作步驟明顯復雜化。
特別情況:當樣品中多個含量差異較大、或出峰時間差異較大的組分需要同時定量的時候,需要選擇多個內標物。溶液態樣品,當所有組分都出峰,但溶劑峰明顯過大超載造成響應值脫離線性的情況下,也應采用內標法。
使用情況:能夠得到內標組分和待測組分的相對校正因子,能夠找到合適的內標物,進樣量無法精確控制而且所有組分不都出峰的情況下。例如液體注射器手動進樣,氣體氣密注射器手動進樣,惰性氣體或溶劑稀釋進樣(不考慮溶劑峰),且不是所有組分都出峰等情況下。
簡單說,什么時候用內標呢?1、外標和歸一化都解決不了。2、能夠找到一個合適的內標物。
相關閱讀:

