一、色譜柱固有屬性
柱長,柱經,粒徑是柱子的固有屬性,柱效取決于填料種類。

在填料種類相同的情況下,柱效與柱長成正比,與粒徑成反比,柱效與柱長和粒徑的比值有關,比值越大柱效越高。
二、色譜柱分析屬性
流速,柱壓,分離度,分析時間,柱容量與進樣體積,是柱子的分析屬性。容量因子與洗脫強度決定柱子與分析參數。柱子在最優的條件下達到最佳柱效。
1、最佳流速——只與柱徑有關,柱徑越大,最佳流速越大,消耗的溶劑越多。

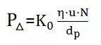
2、最佳柱壓——對于給定的色譜柱,最佳流速下的柱壓就是最佳柱壓,柱壓的大小與流動相的種類黏度和配比有關,也與色譜柱柱溫有關。

柱壓與流速成正比,與柱效成正比,與流動相黏度成正比,與柱溫成反比。
3、最佳分離度——分離度與柱長成正比,與柱效成正比,與粒徑成反比。
4、分析時間——分析時間與柱長成正比,柱子越短,分析時間越短,反之越長。
5、柱容量與進樣體積——柱容量只與柱經和柱長有關,柱子體積越小,柱容量越小;進樣體積與柱容量成正比,柱容量越小,消耗樣品越少。
![]()
6、容量因子與洗脫強度——洗脫強度越大,容量因子越小,保留越弱,出峰越早;洗脫強度越小,容量因子越大,保留越強,出峰越晚。
其實超高效液相色譜儀就是利用了色譜柱的固有屬性和分析屬性。超高效液相色譜,使用小顆粒短柱,提高柱效,降低柱壓,縮短分析時間,降低溶劑消耗,減小樣品損失,提高分析效率,降低分析成本。
三、洗脫時間與柱體積關系
洗脫時間與柱體積成正比,與流速成反比。

四、梯度轉換與轉換系數

(內容參考儀器信息網)

